Mise à jour: 10 février 2021
Le long de la Voie, trois bornes :
GRANDE CONFIANCE
GRAND DOUTE
GRANDE PATIENCE
HAN SHAN poète du 8eme Siècle.
Haut de page Je dirais aussi
PATIENCE PERSÉVÉRANCE CONFIANCE
PRATIQUE! PRATIQUE! PRATIQUE!
FU : Renouveler -
Renouveau, moment où ce qui est fort reprend sa marche ascendante.
Le discours philosophique pourrait se résumer en ces quelques idéogrammes.
En effet,
la pratique assidue peut mener à ces états de transformations, mais je ne suis pas
un moine.
Ma démarche tant personnelle que celle d'enseignant vise à permettre, à
chacun, par une pratique quotidienne d'une heure à une heure trente de mobiliser
le QI, ainsi de désobstruer les systèmes méridiens de la médecine chinoise, d'obtenir
la quiétude (Ciel), l'enracinement (Terre) et l'assouplissement (Homme).
Cette pratique agissant en synergie sur le physique, le psychisme (mental et émotionnel)
et le spirituel.
Chaque matin, lorsque une pratique débute, est le premier matin/dernier matin.
début
du mouvement/fin du mouvement -
Cette pratique quotidienne, je l'espère, vous permettra de vivre votre journée comme vous avez vécu votre TAI JI ou vos QI GONG.
Approfondir. Pratique quotidienne sans limite dans le temps.
Je donnerais à votre méditation le 24ième hexagramme du Livre des transformations :le Yi JING.
Pour conclure, où tout commence.
"Propos sur la racine
des légumes"
de HONG ZICHENG
Début du XVII ième Siècle
Extraits
Les jours et les ans sont en soi assez longs; c'est en s'activant trop qu'on les raccourcit. Le ciel et la terre sont vastes; c'est en étant étriqué qu'on les rétrécit Les fleurs et la lune invitent au loisir; c'est en se créant des préoccupations inutiles qu'on les rend superflues.
Quand on avance il faut se demander comment reculer au besoin. C'est ainsi qu'on évite le triste sort du bélier pris par les cornes dans une haie. Quand on s'engage dans une action il faut prévoir comment s'arrêter. C'est ainsi qu'on ne risque pas de chevaucher un tigre sans pouvoir en descendre.
Le son d'une cloche entendu dans le calme de la nuit peut nous réveiller du rêve
que nous rêvons en rêve. Le reflet de la lune contemplé dans une eau transparente
peut nous montrer le corps qui est nôtre au-
Souvent l'homme perd son authenticité spirituelle parce que son cœur est instable. Si l'on reste assis dans le calme en bannissant toute pensée trouble on est libre et insouciant comme les nuages, frais et pur comme la pluie, on vibre à l'unisson du chant des oiseaux, on est illuminé à la vue des fleurs qui tombent.
Alors on se trouve, où qu'on soit, dans le monde véritable, on perçoit en toute chose sa raison véritable.
La naissance d'un enfant met la mère en danger; l'abondance de richesses excite les
voleurs. Il n'y a pas de réjouissance sans affliction.
La pauvreté enseigne la modération; la maladie engage à prendre soin de son corps.
Il n'y a pas d'affliction sans consolation.
Aussi l'homme éclairé considère-
Les fleurs sont plus belles à demi ouvertes; le vin est meilleur si l'ivresse est légère. C'est là que réside le charme des choses. Les floraisons luxuriantes et l'ivresse profonde ont de tristes lendemains. Ceux qui sont au faîte de la réussite feraient bien d'y penser.
LA MAIN QUI DANSE ET LE PIED QUI FRAPPE,
À QUATRE-
LA MAIN OISIVE ET LE PIED PARESSEUX,
À DIX NEUF ANS ON ENTRE DANS LE TOMBEAU.
Poème chinois.
Vénérable auditoire, le vide contient le soleil, la lune,
Les étoiles, la grande
terre, les montagnes, les rivières,
Les arbres, les herbes, les hommes bons, les
hommes
mauvais, les bonnes choses, les mauvaises choses,
le paradis, l'enfer.
Tous
sont dans le vide.
Le vide de la nature de l'homme, est de la même sorte.
HUI NENG poète, né près de Canton vers 620.
Le long de la Voie, trois bornes :
GRANDE CONFIANCE
GRAND DOUTE
GRANDE PATIENCE.
HAN SHAN poète, huitième siècle.
Le Dao que l'on nomme n'est pas le Dao.
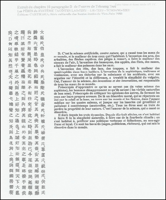
Exrait du livre : Les Pères du système Taoïste. DR. Léon Wieger. Société d'Édition
"les belles lettres" Paris 1950.
Chapitre I du DAO DE JING
de LAO TZEU. (né en -
" A. Le principe qui peut être énoncé, n'est pas celui qui fut toujours.
L'être qui
peut être nommé, n'est pas celui qui fut de tout temps.
Avant le temps, fut un être
ineffable, innommable.
B. Alors qu'il était encore innommable, il conçut le ciel et la terre.
Après qu'il
fut ainsi devenu nommable, il donna naissance à tous les êtres.
C. Ces deux axes n'en sont qu'un, sous deux dénominations différentes.
L'acte générateur
unique, c'est le mystère de L'origine. Mystère des mystères.
Porte par laquelle ont
débouché sur de l'univers, toutes les merveilles qui le remplissent.
D. La connaissance que l'homme a du principe universel, dépend de l'état de son esprit.
L'esprit habituellement libre de passions, connaît sa mystérieuse essence.
L'esprit
habituellement passionné, ne connaîtra que ses effets. "
I -
Lien avec le spiritel.
II -
III -
Ces trois foyers fonctionnent en synergie.
La culture de cette Perle, représentée par la mise en réserve
des différentes mutations
énergétiques va permettre à votre
organisme de s'exprimer au mieux de ses possibilités
en
redistribuant cette nouvelle énergie : ÉNERGIE VÉRITABLE dans les
SYSTÈMES MÉRIDIENS
pour alimenter toutes les fonctions physiques et psychiques.
Au niveau SPIRITUEL,
de la vision dualistique axe
horizontal, se rapprocher de la vision unitive axe vertical.
C'est par une pratique assidue du TAI JI, QI GONG
MARTIAL et/ou des QI GONG MÉDICAUX
que vous
pourrez protéger cette perle lumineuse, accumuler du QI PUR
et ainsi faire
circuler ce QI afin de renforcer vos différents systèmes
pour une QUALITÉ et une
QUANTITÉ (DURÉE) de vie optimale.
L'acupuncture est basée sur les mêmes fondements,
mais demande l'intervention d'un
thérapeute en médecine chinoise.
Les interventions ne peuvent se faire quotidiennement
tout au long de l'année.
Par contre une fois passé le temps d'apprentissage du TAI
JI ou des QI GONG,
vous pouvez pratiquer tous les jours et approfondir par vous même.
Il est certain que si le déséquilibre énergétique est trop important avec de nombreux
symptômes, l'intervention par acupuncture ou une des autres branches de la médecine
chinoise pourrait être nécessaire.
Cultiver cette Perle Lumineuse dans le DAN TIAN, Champ
de Cinabre inférieur, situé
: entre le nombril (face antérieure
du corps) et la deuxième vertèbre lombaire (face
postérieure
du corps) d'une part, et entre l'os pubien en bas et le
nombril en haut
d'autre part.
La culture de cette perle se fait tout au long de l'année
principalement
par son hygiène de vie.
Calligraphie de Claude Léger
Si vous suivez les autres, vous perdez votre nature.
Le vide de la vallée transmet le son.
TAI JI UN MATIN DE LUNE D'AUTOMNE.
LE CIEL EST GRIS, LA TERRE EST BLANCHE.
CETTE PREMIÈRE NEIGE D'AUTOMNE
AUX LOURDS
FLOCONS PLEINS D'EAU,
FAIT PLOYER LES BRANCHES DES ARBRES
ENCORE GARNIS DE FEUILLES.
POUR ME RENDRE À L'ESPACE DE L'HARMONIE,
CE MATIN-
J'EMPRUNTE LE CHEMIN PAVÉ.
TRAVERSANT D'UN PAS TRANQUILLE
LE JARDIN DE CERISIERS, DE POMMIERS,
I'ÉTANG OÙ LES
CARPES DE MULTIPLES COULEURS
S'ÉBATTENT,
JE DOIS EN TOUTE HUMILITÉ,
PASSANT SOUS
LE CERISIER, PRÈS DE LA PORTE,
SES BRANCHES FAISANT UNE RÉVÉRENCE, BAISSER LA TÊTE.
L'ATELIER, EN HAUT, AU PARQUET DE BOIS
EST ÉBLOUISSANT DE LUMIÈRE,
REFLET DE CETTE
NEIGE
QUI DONNE À L'ESPACE DE L'HARMONIE
CET ASPECT LUMINEUX.
CONTEMPLATION AVANT
CETTE PRATIQUE MÉDITATIVE
EXÉCUTÉE COMME UNE CHORÉGRAPHIE
CHAQUE JOUR IDENTIQUE
ET
POURTANT TOUJOURS DIFFÉRENTE.
Automne 1998
Claude Léger
Le pouvoir de l'argent et les apprentis sorciers.
Le temps s'écoule tel un fleuve tranquille
dans le tumulte de l'agitation humaine.
Révolte de la nature
devant cette marée grouillante,
cancer de la planète.
Les éléments
se déchaînent
prémisse d"un raz de marée encore inégalé.
La terre tremble, s'ouvre
de tous bords.
Tel un laboureur invisible,
les cités sont détruites une à une.
Le
calme apparaît.
L'Homme a disparu tels les dinosaures d'une autre époque.
Nouveaux
bruits dans la nature,
paysages inconnus.
Nouveaux temps.
Nouvel Homme.
Printemps 1997
Claude Léger
Four où l'on cuit certaines couleurs et la dorure. Gouache. Haut. 30 cm.
Planche
No 19 de l'album chinois envoyé par le père Amiot au ministre Bertin.
BIBLIOTHÈQUE DE LA MANUFACTURE NATIONALE DE SÈVRES
ALCHIMIE

LUMIÈRE
En bas YANG le feu
En haut YIN l’eau
Rencontre
Montagne
Forêt
couleurs
Instant fugace
Entre les deux
Lumière
Texte et photo Claude Léger -
| 2020 |
| 2019 |
| 2018 |
| 2017 |
| 2016 |
| 2015 |
| 2014 |
| 2013 |
| 2012 |
| 2011 |
| 2010 |
| 2009 |
| 2008 |
| 2007 |
| 2006 |
| 2005 |
| 2004 |
| 2003 |
| 2002 |
| 2001 |
| 2000 |
| 1999 |
| 1998 |
| 1997 |
| 1996 |
| 1995 |
| 1994 |